|
В основе боровской теории атома лежат два основных положения (постулата):
1. Электроны могут двигаться в атоме только по определенным орбитам, находясь на которых они, несмотря на наличие у них ускорения, не излучают.
Бор предположил, что произведение модуля импульса на радиус орбиты кратно постоянной Планка:
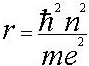
где n = 1,2,3,… это и есть правило квантования. С помощью правила квантования можно получить выражение для возможных радиусов орбит:

2. Атом излучает или поглащает квант электромагнитной энергии при переходе электрона из одного стационарного состояние в другое.
Радиусов допустимых (стационарных) орбит электрона в атоме водорода:


Ряд значений энергий стационарных состояний атома водорода
Если вы хотите отдохнуть в солнечной Абхазии, тогда лучшего места, чем курорт Пицунда вам не найти. Курорт Пицунда - это красивая природа, свежий воздух и приятные доброжелательные жители. Самшитовая роща в Пицунде является комфортабельным пансионатом на побережье Абхазии.
|